Sodium Hyaluronate

CAS No.: 9067-32-7 Request for quotation

Sodium hyaluronate is an anionic, nonsulfated glycosaminoglycan distributed widely throughout connective, epithelial, and neural tissues. The average 70 kg (154 lbs) person has roughly 15 g of sodium hyaluronate in the body, one-third of which is turned over (degraded and synthesized) every day. Sodium hyaluronate is also a component of the group A streptococcal extracellular capsule.

Sodium hyaluronate is used in eye surgery i.e., corneal transplantation, cataract surgery, glaucoma surgery, surgery to repair retinal detachment and.

Sodium hyaluronate is used as a viscosupplement, eye lubricant as an solution administered through a series of injections into the knee, increasing the viscosity of the synovial fluid, which helps lubricate, cushion and reduce pain in the joint. It is generally used as a last resort before surgery and provides symptomatic relief, by recovering the viscoelasticity of the articular fluid, and by stimulating new production from synovial fluid. Use of sodium hyaluronate may reduce the need for joint replacement

Sodium Hyaluronate, Eye drop Specification (Below) . Cosmetic and injection grade is also available.

Appearance A white or almost white, very hygroscopic powder or a fibrous aggregate Standard Packing 500g/bag or per customer request
Assay (HPLC) 95.0-105.0% Inventory Normally we have Sodium Hyaluronate in stock
pH 5.0-8.5
Nucleic acids ≤ 0.5 (A260nm) Sodium Hyaluronate physical parameters
Protein ≤ 0.1% CAS No: 9067-32-7
Appearance of solution ≤ 0.01 (A600nm) Formula

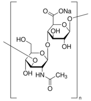
(C14H20NNaO11)n

Iron ≤ 80 ppm Synonym Poly(β-glucuronic acid-[1→3]-β-N-acetylglucosamine-[1→4]), alternating
Loss on drying ≤ 20% Structure Sodium Hyaluronate
Chlorides ≤ 0.5%
Microbial contamination ≤ 100/g
Bacterial endotoxins 0.05 IU/mg
Certificate of Analysis Sodium Hyaluronate COA
Literature Sodium Hyaluronate literature
MSDS Sodium Hyaluronate MSDS
References:
1. P. Coimbra et al.: International Journal of Biological Macromolecules, Volume 49, Issue 4, 1 November 2011, Pages 573–579. Sodium hyaluronate/chitosan polyelectrolyte complex scaffolds for dental pulp regeneration: Synthesis and characterization
2. K. Ruckmani et al: Journal of Pharmaceutical Analysis, Volume 3, Issue 5, October 2013, Pages 324–329. Determination of sodium hyaluronate in pharmaceutical formulations by HPLC–UV

Copyright © 2020 - . All Rights Reserved.
Home >>
Sodium Hyaluronate